Problems Of Block Diagram Reduction In Control System

Problems Of Block Diagram Reduction In Control System

  • Category : Control System
  • Post Date : January 27, 2026
Problems Of Block Diagram Reduction In Control System 9 out of 10 based on 60 ratings. 90 user reviews.

Problems Of Block Diagram Reduction In Control System

Control Systems - Block Diagram Reduction

Control Systems Block Diagram Reduction

Block Diagram Reduction Rules

Control Systems Block Diagram Reduction

Example Block Diagram Reduction In Control System

Control Systems Study Material

Block Diagram Representation Of Control Systems

Block Diagram Reduction

Solved Block Diagram Reduction The Block Diagram Of A Lau

Dynamical Systems - Block Diagram Reduction

Solved The Block Diagram Of A Control System Is Shown Bel

Control System - Block Diagram Reduction

Block Diagram Representation Of Control Systems

Solved Question A Block Diagram Of A Control System Is Sh

Block Diagram Representation Of Control Systems

Solution

Control System Diagram

Ec 1304 December 2007

System Dynamics And Control Module 13c

Solved The Block Diagram Of A Control System Is Shown In

Control Systems

Block Diagram Representation Of Control Systems

Block Diagram Representation Of Control Systems

Control Systems Study Material

Block Diagram Representation Of Control Systems

Block Diagram Reduction Techniques

Some Important Tips For Control Systems

Block Diagram Representation Of Control Systems

Block Diagram Representation Of Control Systems

Solved Block Diagram Representation Of A Control System I

Block Diagram Reduction Techniques

Control Chap3

Block Diagram Reduction Control System Examples

Block Diagram Reduction Techniques

Block Diagram Reduction

System Dynamics And Control Module 13b

Control Engineering Block Diagram Reduction

Ebook Dynamic System Modeling And Control

Block Diagram Reduction Rules U2014 Kejomoro Fresh Ideas

Solved B Figure 4 Shows A Block Diagram Of A Control Sy

Control Systems Block Diagram Reduction

Control Theory

Basic Rules For Block Diagram Reduction Technique

Dynamical Systems - Block Diagram Reduction

Block Diagram Reduction

8178001772 Control

Block Diagram Representation

The Basics Of Process Control Diagrams U00bb Technology

Block Diagram Reduction

Block Diagram Reduction Technique Problem 4 In Control

Example Block Diagram Reduction In Control System

Protein Crystal Mounting

To Perform A Block Diagram Reduction Using Matlab

Control Chap3

Solved 1 Control Design Via Block Diagram Reduction An

Solved Use Block Diagram Reduction To Obtain The Transfer

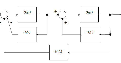
Diagram Problems Of Block Diagram Reduction In Control System

  • Download Problems Of Block Diagram Reduction In Control System

    draw.io is free online diagram software for making flowcharts, process diagrams, org charts, UML, ER and network diagrams

    Open and edit diagrams online with Draw.io, a free diagram software supporting various formats and diagram types.

    Create a new diagram, or open an existing diagram in your new tab. To create a new diagram, enter a Diagram Name and click the location where you want to save the file.

    Create flowcharts and diagrams online with this easy to use software.

    Create and edit diagrams with draw.io, a free diagramming tool that integrates seamlessly with Office 365.

    app.diagrams.net

    Easily import diagrams from Lucidchart to diagrams.net or draw.io with this simple tool.

    Access and integrate Google Drive files with Draw.io using the Google Picker tool for seamless diagram creation.

    Clearing Cached version 29.3.4... OK Update Start App

    confEmbedUpload=For a better editing experience, please use the regular draw.io macro to insert a blank diagram, then from (File menu → Import From → Device...) select the file you want to upload and embed.

    3 way switch,3 way switch wiring,3 way switch wiring diagram pdf,3 way wiring diagram,3way switch wiring diagram,4 prong dryer outlet wiring diagram,4 prong trailer wiring diagram,6 way trailer wiring diagram,7 pin trailer wiring diagram with brakes,7 pin wiring diagram,alternator wiring diagram,amp wiring diagram,automotive lighting,cable harness,chevrolet,diagram,dodge,doorbell wiring diagram,ecobee wiring diagram,electric motor,electrical connector,electrical wiring,electrical wiring diagram,ford,fuse,honeywell thermostat wiring diagram,ignition system,kenwood car stereo wiring diagram,light switch wiring diagram,lighting,motor wiring diagram,nest doorbell wiring diagram,nest hello wiring diagram,nest labs,nest thermostat,nest thermostat wiring diagram,phone connector,pin,pioneer wiring diagram,plug wiring diagram,pump,radio,radio wiring diagram,relay,relay wiring diagram,resistor,rj45 wiring diagram,schematic,semi-trailer truck,sensor,seven pin trailer wiring diagram,speaker wiring diagram,starter wiring diagram,stereo wiring diagram,stereophonic sound,strat wiring diagram,switch,switch wiring diagram,telecaster wiring diagram,thermostat wiring,thermostat wiring diagram,trailer brake controller,trailer plug wiring diagram,trailer wiring diagram,user guide,wire,wire diagram,wiring diagram,wiring diagram 3 way switch,wiring harness

    close